Summary of this article
India’s pension system weak, unprepared for growing elderly population.
High medical inflation and rising expenses threaten retirement savings.
Personal financial planning crucial as traditional support systems shrink.
India may be staring at a retirement crisis that few are prepared for. According to the Mercer-CFA Institute Global Pension Index 2025, India has received a D grade, scoring just 45.9 out of 100. In simple terms, our country’s pension system is not considered strong enough to support its ageing population.
A report by NITI Aayog titled ‘Senior Care Reforms in India’, echoes this concern. The report notes that many older adults lack a reliable source of income in retirement and that the pension system requires strengthening and additional funding.
The demographic shift underway makes the challenge sharper. The United Nations Population Fund India Ageing Report 2023 estimates that India’s elderly population, those aged 60 and above, will rise from 149 million in 2023 to 347 million by 2050. That would mean one in every five Indians will be a senior citizen.
At the same time, data from the Periodic Labour Force Survey shows nearly 90 per cent of India’s workforce is in the informal sector, without access to structured pensions, EPF(Employee Provident Fund) benefits or formal retirement safety nets.
Rising costs add another layer of pressure. Healthcare, in particular, is emerging as the biggest risk to retirement savings. The insurance regulator, Insurance Regulatory and Development Authority of India (IRDAI), estimates medical inflation in India at around 12 to 14 per cent, which is significantly higher than general inflation, which averages about 6 per cent.

At 6 per cent inflation, expenses double roughly every 10 to 12 years and can triple in about 20 years. That has a direct impact on how much money is needed to sustain retirement.
Using a common global thumb rule, retirement experts often estimate that a corpus equal to 25 times annual expenses is required to maintain a similar lifestyle post-retirement.
Take a simple case. If monthly expenses today are Rs 60,000, annual expenses come to Rs 7.2 lakh. Applying the 25 times rule means a retirement corpus of about Rs 1.8 crore in today’s terms.
But inflation changes that picture. Adjusting that amount for 20 years at 6 per cent inflation pushes the required corpus to roughly Rs 5.7- 6 crore by the time retirement begins.
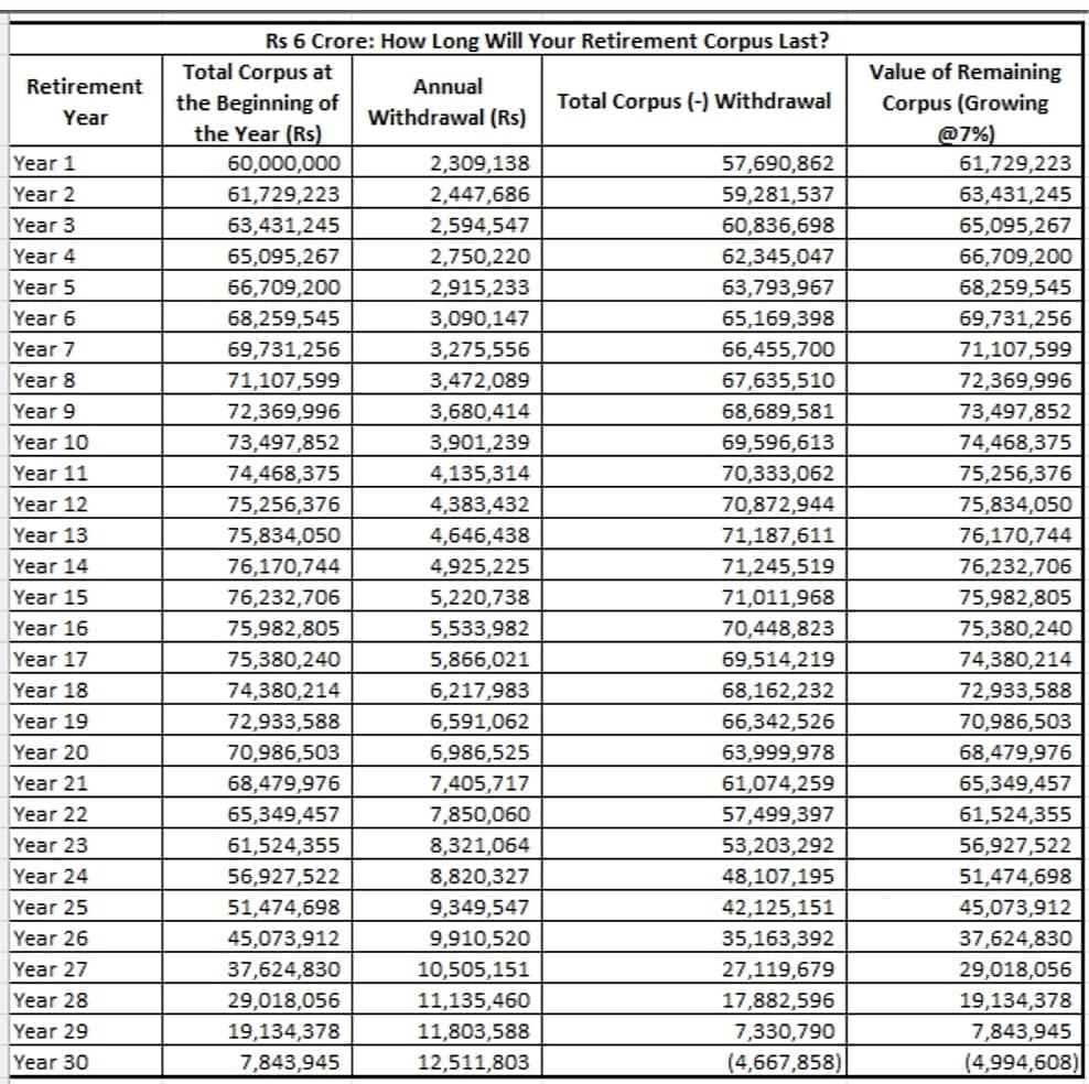
If Rs 6 crore is invested and earns 7 per cent annually, and withdrawals begin at Rs 7.2 lakh per year, growing at 6 per cent annually, the corpus initially rises for over a decade before higher withdrawals start eating into it. The amount remains above the original Rs 6 crore for over 20 years, but gets exhausted around the 29th or 30th year.
For many middle-income urban households, that translates into a retirement requirement of roughly Rs 5- 6 crore. In metro cities, however, the estimates may be higher, closer to Rs 7 crore or more, according to lifestyle and healthcare needs.
Meanwhile, social structures are changing. Joint families are shrinking, children increasingly live in different cities or countries, and traditional support systems are weakening. Reports have warned of a widening “care gap” as India ages.
Put together, weak pension coverage, high medical inflation, rising life expectancy and shifting family dynamics, the numbers point to one reality. Retirement in India is becoming less about institutional support and more about personal financial capacity.

















