RBI permits early redemption of 2018–2021 SGBs from October to March.
Investors must submit redemption requests via banks, NSDL, CDSL, or RBI.
Premature redemption is allowed after completing five years from issuance.
RBI permits early redemption of 2018–2021 SGBs from October to March.
Investors must submit redemption requests via banks, NSDL, CDSL, or RBI.
Premature redemption is allowed after completing five years from issuance.
The Reserve Bank of India (RBI) has outlined the premature redemption schedule for sovereign gold bonds (SGBs) issued between 2018 and 2021, which will be from October 1, 2025, to March 31, 2026. Investors who own eligible bonds can submit redemption requests during the designated windows for each series.
SGBs are government securities backed by gold which are issued by RBI. Investors pay the issue price in cash or through their bank or demat accounts, and the bonds are redeemed in cash at maturity.
SGBs come with a tenure of eight years, but can be redeemed prematurely after completing five years from the date of issuance. From October 1, 2025 to March 31, 2026, the tranches issued between May 2018 and March 2021 will be eligible for early redemption. Investors must submit their redemption requests within the specified period through designated bank branches, National Security Depository (NSDL), Central Depository Services (CDSL), or the RBI Retail Direct platform.
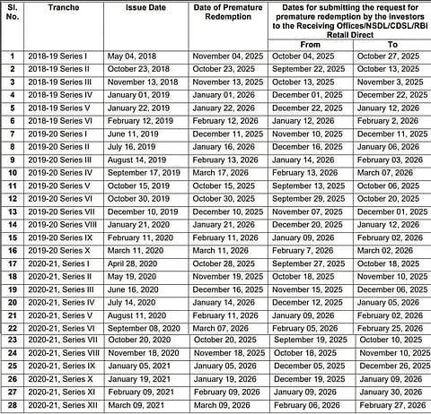
According to the RBI, 28 tranches of SGBs will be available for premature redemption between October 2025 and March 2026.

The early tranches eligible for redemption include:
The 2018-19 Series I issued on May 4, 2018, and due for redemption on November 4, 2025, with redemption requests accepted between October 4 and October 27, 2025.
Series II of 2018-19 issued on October 23, 2018, and scheduled for redemption on October 23, 2025. Investors can submit their redemption requests from September 22 to October 13, 2025.
The 2018-19 Series III was issued on November 13, 2018, and is redeemable on November 13, 2025, with the request period for premature redemption open from October 13, 2025, to November 3, 2025.
The RBI has clarified that the mentioned dates are subject to change if there are any unforeseen holidays.
In addition, the RBI had announced in early August 2025 that investors who held the 2019-20 Series IX SGBs would be eligible for premature redemption if they had earned 147 per cent of the issue price within five years.
Before investing in SGBs, it’s crucial to be aware of who can invest and the investment limits. Under the FEMA Act of 1999, Indian citizens, which includes individuals, trusts, universities, charity organisations, and Hindu Undivided Families (HUFs), are eligible investors. Those who later become non-residents may continue to hold their bonds until maturity or early redemption.
SGBs are issued in denominations of one gram of gold and multiples. The minimum investment is one gram, with an annual maximum of 4 kilogram for individuals and HUFs, and 20 kg for trusts or similar companies. For joint ownership, the limit applies to the first applicant.