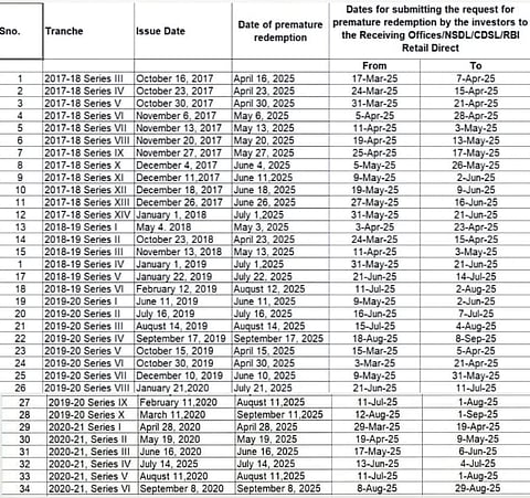
The Reserve Bank of India (RBI) has issued the Sovereign Gold Bond (SGB) Scheme Calendar for premature redemption from April 2025 – September 2025. As per Para 13 of the Consolidated Procedural Guidelines on SGBs, premature redemption is permitted only after five years from the bond’s issue date.

